上海金畔生物科技有限公司提供各种分子量和基团修饰性聚乙二醇定制服务。
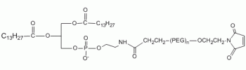
DMPE PEG Maleimide, DMPE-PEG-Mal
|
Description:
1,2-Dimyristoyl-sn-Glycero-3-Phosphoethanolamine (DMPE) conjugated Polyethylene Glycol, DMPE PEG is a phospholipid PEG conjugate which has both hydrophilicity and hydrophobility. Pegylated phospholipids are excellent liposome formation materials that can be used for drug delivery, gene transfection and vaccine delivery as well. Pegylation of phospholipids significantly improves the blood circulation time and stability for encapsulated drugs. These materials can also be used for targeted drug delivery by modifying their surfaces with targeting ligands such as antibodies, peptides.
Physical Properties:
- Off-white/white solid or viscous liquid depends on molecule weight;
- Soluble in regular aqeous solution as well as most organic solvents;
Storage Conditions:
- Store at -20 0C, dessiccated Protect from light. Avoid frequent thaw and freeze.
- SDS
- DataSheet
