上海金畔生物科技有限公司提供各种分子量和基团修饰性聚乙二醇定制服务。
DSPE PEG Acid, DSPE-PEG-COOH
|
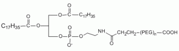
DSPE-PEG-COOH, MW 2000
Synonym: 1,2-Distearoyl-sn-Glycero-3-Phosphoethanolamine PEG Acid, COOH-PEG-DSPE, DSPE-PEG-COOH
Description
DSPE-PEG-COOH is one of Nanocs reactive phospholipid PEG conjugates that can react with primary amine groups. DSPE (1,2-distearoyl-sn-glycero-3-phosphoethanolamine) is an 18 carbon phospholipid that is highly hydrophobic. PEG linker, on the other hand, offers good hydrophilicity and water solubility. Carboxylic group (-COOH) on the other PEG terminal reacts with primary amine groups using EDC chemistry. PEG DSPE thus can be easily incorporated into liposome and other nanoparticles via the reaction of carboxylic acid and amine. DSPE PEG COOH is a commonly used reactive phospholipid to conjugate antibodies, proteins, peptides or other substrates to the surface of liposome and other lipid PEG nanoparticles. Pegylated phospholipids have longer blood circulation time and higher stability for encapsulated molecules. Nanocs has developed a comprehensive collection of chemical reactive phospholipid PEG products that have high purity, various molecular weights and excellent chemical reactivity. These lipid PEG conjugates demonstrate excellent amphilphilic properties and offer superior advantages for small and large molecule modification, formulation and delivery.
Product Information:
- Form: Solid;
- Color: White;
- Solubility: Soluble in chloroform, warm water;
- Reactive group: Carboxylic acid (-COOH);
- Reactive to: Primary amine group (-NH2);
- Lipid type: C18, saturated;
- Purity: >95%;
Storage Conditions:
- Store at -20 0C. Avoid frequent thaw and freeze.
References:
Click here to check hundreds of publications using Nanocs PEGs.
- SDS
- DataSheet
| PG2-DSNS-5k , DSPE-PEG-NHS |
| PG2-DSNS-10k , DSPE-PEG-NHS |
| PG2-AMDS-20k , DSPE PEG Amine, DSPE-PEG-NH2 |
| PG2-DSHZ-3k , DSPE PEG hydrazide |
